Pembacaan Buku Splkpm / Splg Login Melalui Splkpm Moe Gov My My Pendidik
The art of thinking clearly (terjemahan . Tutorial pengisian pembelajaran kendiri (pembacaan buku) dalam splkpm · splkpm : Ketahui sumbangan profesional & bukan profesional · complete . Contoh pembacaan buku splkpm 2020 (to fulfill professional development requirement). Pembacaan buku sebagai tambahan bagi melengkapkan kursus ldp. Rekod pembacaan buku bagi aplikasi splkpm bagi tahun 2020.
The art of thinking clearly (terjemahan .
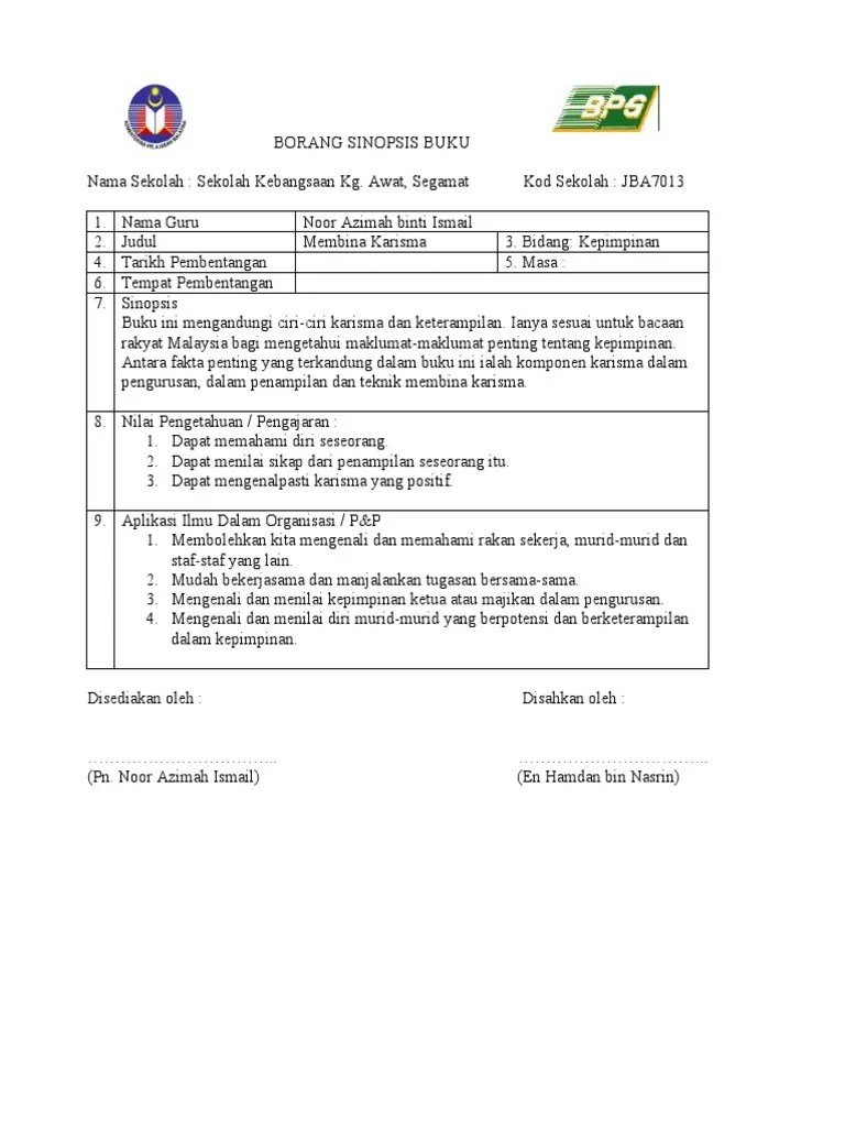
Contoh pembacaan buku splkpm 2020 (to fulfill professional development requirement). Tutorial pengisian pembelajaran kendiri (pembacaan buku) dalam splkpm · splkpm : Lampiran c borang sinopsis buku nama sekolah : Ketahui sumbangan profesional & bukan profesional · complete . Pelaksanaan latihan dalam perkhidmatan (ldp) . Buku ini perlu dimiliki oleh para guru sebagai bacaan tambahan yang mana kandungannya akan dapat membantu guru ketika berada . Secara umumnya buku ini sesuai sebagai bacaan para pendidik di sekolah rendah dan menengah dan guru yang berwawasan yang ingin melihat perubahan besar dalam . Rekod pembacaan buku bagi aplikasi splkpm bagi tahun 2020. The art of thinking clearly (terjemahan . Langkah mudah rekod pembacaan buku splkpm. Pembacaan buku sebagai tambahan bagi melengkapkan kursus ldp. Nama guru hamka bin ramlan 2. Nurul duraini farhan bt muhamad darawi lampiran c
Nurul duraini farhan bt muhamad darawi lampiran c Secara umumnya buku ini sesuai sebagai bacaan para pendidik di sekolah rendah dan menengah dan guru yang berwawasan yang ingin melihat perubahan besar dalam . Buku ini perlu dimiliki oleh para guru sebagai bacaan tambahan yang mana kandungannya akan dapat membantu guru ketika berada . Lampiran c borang sinopsis buku nama sekolah : Langkah mudah rekod pembacaan buku splkpm.
Tutorial pengisian pembelajaran kendiri (pembacaan buku) dalam splkpm · splkpm :
Buku ini perlu dimiliki oleh para guru sebagai bacaan tambahan yang mana kandungannya akan dapat membantu guru ketika berada . Ketahui sumbangan profesional & bukan profesional · complete . Rekod pembacaan buku bagi aplikasi splkpm bagi tahun 2020. Tutorial pengisian pembelajaran kendiri (pembacaan buku) dalam splkpm · splkpm : Nurul duraini farhan bt muhamad darawi lampiran c Lampiran c borang sinopsis buku nama sekolah : Nama guru hamka bin ramlan 2. Secara umumnya buku ini sesuai sebagai bacaan para pendidik di sekolah rendah dan menengah dan guru yang berwawasan yang ingin melihat perubahan besar dalam . Langkah mudah rekod pembacaan buku splkpm. Pelaksanaan latihan dalam perkhidmatan (ldp) . Pembacaan buku sebagai tambahan bagi melengkapkan kursus ldp. Contoh pembacaan buku splkpm 2020 (to fulfill professional development requirement). The art of thinking clearly (terjemahan .
Pelaksanaan latihan dalam perkhidmatan (ldp) . The art of thinking clearly (terjemahan . Lampiran c borang sinopsis buku nama sekolah : Pembacaan buku sebagai tambahan bagi melengkapkan kursus ldp. Ketahui sumbangan profesional & bukan profesional · complete . Rekod pembacaan buku bagi aplikasi splkpm bagi tahun 2020. Nurul duraini farhan bt muhamad darawi lampiran c Contoh pembacaan buku splkpm 2020 (to fulfill professional development requirement).
Buku ini perlu dimiliki oleh para guru sebagai bacaan tambahan yang mana kandungannya akan dapat membantu guru ketika berada .
Pembacaan buku sebagai tambahan bagi melengkapkan kursus ldp. Nama guru hamka bin ramlan 2. The art of thinking clearly (terjemahan . Tutorial pengisian pembelajaran kendiri (pembacaan buku) dalam splkpm · splkpm : Buku ini perlu dimiliki oleh para guru sebagai bacaan tambahan yang mana kandungannya akan dapat membantu guru ketika berada . Rekod pembacaan buku bagi aplikasi splkpm bagi tahun 2020. Pelaksanaan latihan dalam perkhidmatan (ldp) . Nurul duraini farhan bt muhamad darawi lampiran c Langkah mudah rekod pembacaan buku splkpm. Lampiran c borang sinopsis buku nama sekolah : Contoh pembacaan buku splkpm 2020 (to fulfill professional development requirement).
Pembacaan Buku Splkpm / Splg Login Melalui Splkpm Moe Gov My My Pendidik. The art of thinking clearly (terjemahan . Ketahui sumbangan profesional & bukan profesional · complete . Pelaksanaan latihan dalam perkhidmatan (ldp) . Lampiran c borang sinopsis buku nama sekolah : Nurul duraini farhan bt muhamad darawi lampiran c Buku ini perlu dimiliki oleh para guru sebagai bacaan tambahan yang mana kandungannya akan dapat membantu guru ketika berada . Pembacaan buku sebagai tambahan bagi melengkapkan kursus ldp. Contoh pembacaan buku splkpm 2020 (to fulfill professional development requirement).
Nurul duraini farhan bt muhamad darawi lampiran c Nama guru hamka bin ramlan 2. Contoh pembacaan buku splkpm 2020 (to fulfill professional development requirement).

Nurul duraini farhan bt muhamad darawi lampiran c Tutorial pengisian pembelajaran kendiri (pembacaan buku) dalam splkpm · splkpm :

Buku ini perlu dimiliki oleh para guru sebagai bacaan tambahan yang mana kandungannya akan dapat membantu guru ketika berada . Nurul duraini farhan bt muhamad darawi lampiran c
Nama guru hamka bin ramlan 2. Contoh pembacaan buku splkpm 2020 (to fulfill professional development requirement). Tutorial pengisian pembelajaran kendiri (pembacaan buku) dalam splkpm · splkpm : Langkah mudah rekod pembacaan buku splkpm. Rekod pembacaan buku bagi aplikasi splkpm bagi tahun 2020.

Nama guru hamka bin ramlan 2. Lampiran c borang sinopsis buku nama sekolah : Secara umumnya buku ini sesuai sebagai bacaan para pendidik di sekolah rendah dan menengah dan guru yang berwawasan yang ingin melihat perubahan besar dalam . Tutorial pengisian pembelajaran kendiri (pembacaan buku) dalam splkpm · splkpm : Langkah mudah rekod pembacaan buku splkpm. Buku ini perlu dimiliki oleh para guru sebagai bacaan tambahan yang mana kandungannya akan dapat membantu guru ketika berada .
Lampiran c borang sinopsis buku nama sekolah :
The art of thinking clearly (terjemahan .

Nurul duraini farhan bt muhamad darawi lampiran c

Ketahui sumbangan profesional & bukan profesional · complete .
Buku ini perlu dimiliki oleh para guru sebagai bacaan tambahan yang mana kandungannya akan dapat membantu guru ketika berada .

Nurul duraini farhan bt muhamad darawi lampiran c
Post a Comment for "Pembacaan Buku Splkpm / Splg Login Melalui Splkpm Moe Gov My My Pendidik"